FERMĂ FURAJE NUTROMIX GURBEDIU

Proiect de construire fabrică de nutrețuri combinate (FNC), cântar auto și împrejmuire teren în comuna Tinca, sat Gurbediu.
Beneficiar: S.C. NUTROMIX S.R.L.

Group 75199

Tinca, Bihor

Group 75202

Construcții Industriale

Group 75201

2024-2026

Detalii Proiect

Adresă Proiect

Comuna Tinca, sat Gurbediu, nr. cad. 50896, 52642, jud. Bihor

Descriere Generală

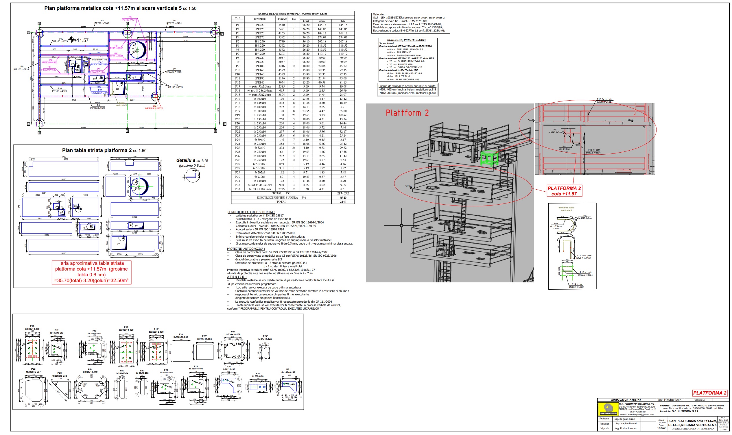
Investiția propusă urmărește realizarea unui ansamblu industrial alcătuit din silozuri cu structură pe fundații, radiere și canale din beton armat, o hală FNC cu structură metalică formată din stâlpi HEA 320 și grinzi IPE 360, acoperiș pe structură metalică, precum și un cântar auto și împrejmuirea perimetrală. Pentru susținerea stâlpilor metalici sunt prevăzute fundații izolate cu cuzineți din beton armat, unite perimetral prin grinzi de fundare, asigurând astfel stabilitatea și durabilitatea construcției.

Caracteristici Seismice

Construcția se află în zona seismică „F”, conform P100-1/2014, cu ag = 0.10g și Tc = 0.7 sec. Este încadrată în clasa de importanță III, categoria C.

Echipa Proiect

Proiectant:

PROREZIS STUDIO

Arhitect:

Verificator:

Ing. I. Haiduc

Beneficiar:

S.C. NUTROMIX S.R.L.

Studiu Geotehnic

Executant:

I.I. Ciura Iuliu Lucian

Capacitate portantă:

300 – 320 kPa

Adâncime fundare:

-1.50m

Infrastructură

  • Fundații izolate + cuzineți din beton armat

  • Radiere și grinzi de fundare perimetrale

  • Silozuri pe radier și canale din beton armat

  • Hală FNC din structură metalică HEA + IPE

  • Acoperiș metalic, pante 17°

Suprastructură

  • Strat de pietriș granular (15 cm) sub pardoseli pentru ruperea capilarității

  • Trotuar de protecție min. 100 cm pe conturul construcțiilor

  • Piese metalice: OL37 (S235JR), suduri continue electrice, îmbinări clasa C2, șuruburi/piețe 8.8 și 10.9

  • Protecție anticorozivă prin vopsire

Element Clasa Beton Oțel Armare Caracteristici
Fundații
C16/20
OB37
Blocuri și cuzineți din b.a.
Radiere/centuri
C25/30
BST500C
XC4; –RO; S3; Cl020
Structură metalică
OL37 (S235JR)
Elemente HEA 320 și IPE 360

Beton: CEM II/A-S 32.5R/0-16 mm, raport A/C max. 0.60, aditivat cu superplastifianți și antrenori de aer.

Normative Aplicabile

  • P100-1/2014 – Cod de proiectare seismică

  • NP112 – „Fundații” – EC7

  • CP012-2009 – „Cod de proiectare a betonului”

  • SR EN 1991-1-1/3/4/6 – Eurocod 1 – acțiuni asupra structurilor

  • SR EN 1992-1-1 – Eurocod 2 – structuri din beton

  • SR EN 1997-1 – Eurocod 7 – geotehnică

  • SR EN 1998-1/3 – Eurocod 8 – structuri seismice

Execuție și Control

  • Identificarea stratului bun de fundare de către geotehnician, înaintea turnării betonului

  • Lucrările executate doar cu personal calificat și certificat

  • Responsabil tehnic execuție + diriginte de șantier autorizat

  • Respectarea normelor NTS, P.S.I. și legislației (Legea 10/1995)

Documentația Proiect

  • Memoriu tehnic rezistență

  • Breviar de calcul (inclusiv acțiuni vânt, zăpadă, seism conform CR 1-1-4/2012 și P100/2014)

  • Borderou piese scrise și desenate

  • Program pentru controlul execuției lucrărilor

Contact

Ai un proiect în plan? Hai să discutăm!
Completează formularul de mai jos și un membru al echipei noastre te va contacta în cel mai scurt timp.

Întrebări frecvente

Ce înseamnă serviciile de proiectare structură de rezistență?

Serviciile de proiectare structură de rezistență se referă la procesul tehnic prin care se determină și se dimensionează elementele de structură ale unei clădiri (fundații, stâlpi, grinzi, planșee etc.) pentru a rezista în condiții de siguranță la toate încărcările (greutate proprie, vânt, zăpadă, cutremur). Aceste servicii sunt esențiale pentru orice tip de construcție, asigurând durabilitatea și stabilitatea în timp.

O proiectare corectă a structurii de rezistență asigură stabilitatea și siguranța construcției în fața solicitărilor mecanice și naturale (cutremure, vânt, zăpadă). O proiectare neconformă poate duce la costuri suplimentare, întârzieri în execuție sau chiar la probleme grave în utilizarea clădirii. De aceea, colaborarea cu o firmă de proiectare autorizată și cu experiență este esențială.

Etapele unui proiect de structură includ:

  1. Analiza documentației arhitecturale și studiului geotehnic;
  2. Modelarea structurală în softuri de specialitate;
  3. Calculul și dimensionarea elementelor structurale;
  4. Elaborarea planurilor și detaliilor de execuție (DTAC + PTh);
  5. Asistență tehnică pe parcursul execuției lucrărilor.

Durata realizării unui proiect depinde de dimensiunea și complexitatea construcției. Pentru o casă unifamilială, proiectul poate fi gata în 7–14 zile lucrătoare. Pentru proiecte mai mari, pot fi necesare 3–6 săptămâni. Termenul exact se stabilește în funcție de documentația disponibilă și de solicitările clientului.

Consultanța tehnică în faza de execuție a structurii de rezistență este esențială pentru a asigura conformitatea lucrărilor cu proiectul și standardele de calitate. Prezența inginerilor specializați permite verificarea modului în care sunt aplicate soluțiile structurale, corectarea eventualelor neconformități și adaptarea detaliilor tehnice în cazul apariției unor situații neprevăzute pe șantier. Astfel, se reduce riscul de erori, se optimizează execuția și se garantează siguranța și durabilitatea structurii.